الايبوكسيدات Epoxides (التسمية – طرق التحضير – التفاعلات)
تسمية الايبوكسيدات Epoxides
– الايبوكسيدات هي ايثرات حلقية ثلاثية، وتسمى طبقاً للتسمية النظامية أوكسيرينات (Oxirane).
– الاسم الشائع الإيبوكسيدات هو أكسيد الإيثيلين.
– التسمية العامة لها إيبوكسيدات أو أكسيد الكين.
طرق تحضير الايبوكسيدات
– تحضر الأيبوكسيدات عامة من الألكينات.
(1) من الهالو هيدرين
– في هذا التفاعل يحضر الهالو هيدرين Halohydrins بمعالجة الألكين بواسطة الهيبوهاليت.
– ثم يعالج الهالو هيدرين الناتج بقاعدة قلوية مثل هيدروكسيد البوتاسيوم.
(2) أكسدة الرابطة الثنائية
– يمكن الحصول على الأيبوكسيد عن طريق أكسدة الرابطة الثنائية بواسطة فوق أكاسيد الأحماض Peroxyacid مثل فوق أكسيد حمض البنزويك كما بالمعادلات التالية:
(3) صناعياً من الأيثيلين
– أما في الصناعة فيمكن تحضير بعض الأيبوكسيدات مثل أكسيد الإيثلين عن طريق الأكسدة بواسطة أكسجين الهواء الجوي في وجود عامل مساعد كما بالمعادلة التالية:
تفاعلات الايبوكسيدات
– تتميز الأيبوكسيدات بنشاط كيميائي واضح مقارنة بالايثرات المفتوحة السلسلة وذلك لسهولة فتح الحلقة الثلاثية ذات الجهد الزاوي، ويرجع هذا الجهد إلى أن الزاوية في حلقة الايثرات ثلاثية حوالي 60o.
– مثل هذه الحلقة تعاني من توتر شديد ولذلك فهي عالية الفعالية تتفاعل بسهولة حتى مع الماء والأحماض المخففة والقلويات نظراً لابتعادها عن زاوية تهجين sp3 وهي 109.5o أو الزوايا الطبيعية للايثرات وهي 110o.
– الميكانيكية العامة لتفاعلات الإيبوكسيدات مع الأحماض تشابه تلك الموجودة في الايثرات الأخرى كما يلي:
(1) تتم بركنة ذرة الأوكسجين لتصبح مجموعة مغادرة جيدة،
(2) انفصال المجموعة المغادرة تاركة أيون كربوكاتيون ثانوي أو ثالثي؛
(3) يهاجم الكاشف النيوكليوفيلي أيون الكاربوكتيون للحصول على الناتج النهائي.
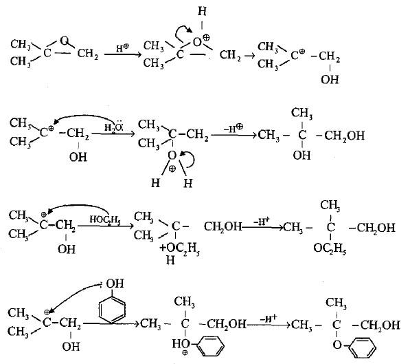
(1) مع الأحماض – التحلل المائي الحامضي ( Acid catalyzed hydrolysis)
– تتفاعل الايبوكسيدات مع الأحماض حيث تتحول إلى أيون الأكسونيوم الذي يتفاعل بدوره مع عدد كبير من النيوكليوفيلات مثل الماء والكحول والفينول كما بالمعادلات التالية:
– ففي حالة الايبوكسيدات التي تحتوي على ذرة كربون ثانوية أو ثالثية يتكون أيون كربوكاتيون ثانوي وثالثي على التوالي بعد انفصام الرابطة الإيثيرية ثم يهاجمه النيوكليوفيل المستخدم.
– أما إذا كان الإيبوكسيد المتفاعل أكسيد الاثيلين فإن النيوكليوفيل يرتبط بإحدى ذرات الكربون لحظة انفصام الرابطة (C – O) وذلك لتجنب تكوين أيون كربوكاتيون أولى.
(2) مع القواعد
– تتفاعل الأيبوكسيدات مع القواعد المختلفة مثل الأمونيا والأمينات وأيون الألكوكسيد والفينوكسيد عن طريق هجوم نيوكليوفيلي للقاعدة على ذرة كربون الإيبوكسيد كما بالمعادلات التالية:
(3) مع مركبات جرينيارد Grignard Reaction
– تتفاعل كواشف جرينيارد مع الإيبوكسيدات خاصة مع أكسيد الاثيلين لتعطى كحولات أولية.
– يتم هذا التفاعل عن طريق هجوم نيوكليوفيلي بواسطة مركبات جرينيارد وعلى الإيبوكسيد لتكوين كحولات أولية تزيد بمقدار ذرتي كربون عن مجموعة ألكيل كاشف جرينيارد.
– أيبوكسيدات الناتجة من أكسدة الهيدروكربونات الأروماتية المدمجة الكبيرة مثل البايرين والبنزبايرين هي مصدر رئيسي للإصابة بالسرطان حيث تكون مهيئة للهجوم النيوكليوفيلي من قبل الحامضي الأميني (DNA) مما يؤدي إلى تكوين الخلايا السرطانية.
المراجع
- الكيمياء العضوية الإليفاتية – د/ عادل شاكر الطائي – دار المسيرة للنشر والتوزيع – عمان – الأردن – 2009
- Organic chemistry / L.G. Wade, Jr / 8th ed, 2013 / Pearson Education, Inc. USA
- Unergraduate Organic Chemistry /Dr. Jagdamba Singh, Dr. L.D.S Yadav / 1st ed, 2010/ Pragati prakashan Educational Publishers, India.
- Organic chemistry / William H. Brown , Christopher S. Foote , Brent L. Iverson , Eric V. Anslyn , Bruce M. Novak . ( sixth edition ) . United States






















